|
|
Підручник Алгебра 9,10,11 класс М.И. Сканави (2013 год) Сборник задач
|
- +
ЧАСТЬ 1. Арифметика, алгебра, геометриястр. 5 - 373
Глава 1. Арифметические действиястр. 5 - 14
Глава 2. Тождественные преобразования алгебраических выраженийстр. 15 - 44
Глава 3. Тождественные преобразования тригонометрических выраженийстр. 45 - 85
Глава 4. Прогрессиистр. 86 - 94
Глава 5. Комбинаторика и бином Ньютонастр. 95 - 103
Глава 6. Алгебраические уравнениястр. 104 - 130
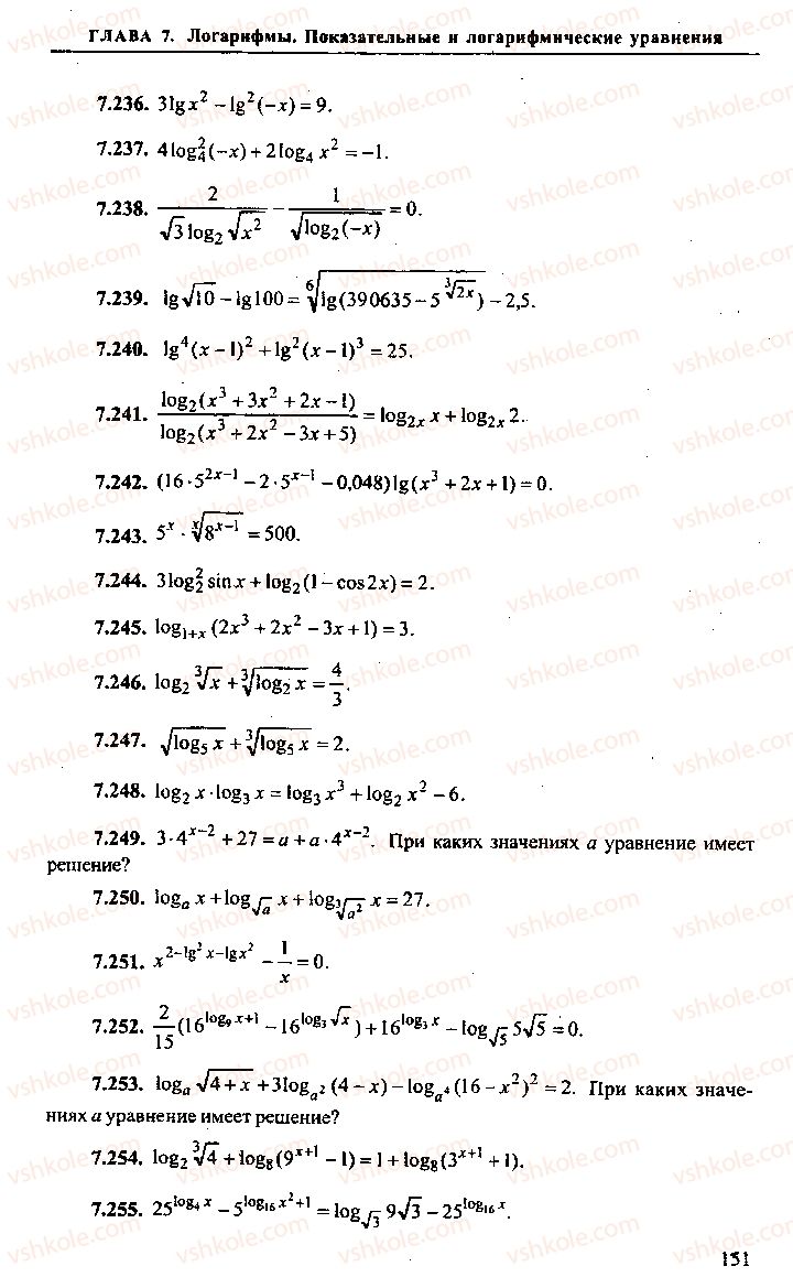
Глава 7. Логарифмы. Показательные и логарифмические уравнениястр. 131 - 156
Глава 8. Тригонометрические уравнениястр. 157 - 188
Глава 9. Неравенствастр. 189 - 214
Глава 10. Задачи по планиметриистр. 215 - 251
Глава 11. Задачи по стереометриистр. 252 - 273
Глава 12. Задачи по геометрии с применением тригонометриистр. 274 - 313
Глава 13. Применение уравнений к решению задачстр. 314 - 373
- +
ЧАСТЬ 2. Алгебра, геометрия (дополнительные задачи). Начала анализа. Координаты н векторыстр. 374 - 471
Варианты заданий для самопроверкистр. 472 - 597
Приложениестр. 598 - 605
ЧАСТЬ 1. Арифметика, алгебра, геометрия - Глава 7. Логарифмы. Показательные и логарифмические уравнения

