Українські підручники
ГДЗ
онлайн
Українські підручники
ГДЗ
онлайн
1-клас
2-клас
3-клас
4-клас
5-клас
6-клас
7-клас
8-клас
9-клас
10-клас
11-клас
ГДЗ
11 клас
Підручники
11 клас
Підручники 11 клас
>
Алгебра
>
А.Г. Мерзляк, В.Б. Полонський, Ю.М. Рабінович, М.С. Якір
Підручник Алгебра 11 клас А.Г. Мерзляк, В.Б. Полонський, Ю.М. Рабінович, М.С. Якір (2011 рік) Збірник задач і контрольних робіт
Сторінка 8 з 97
+
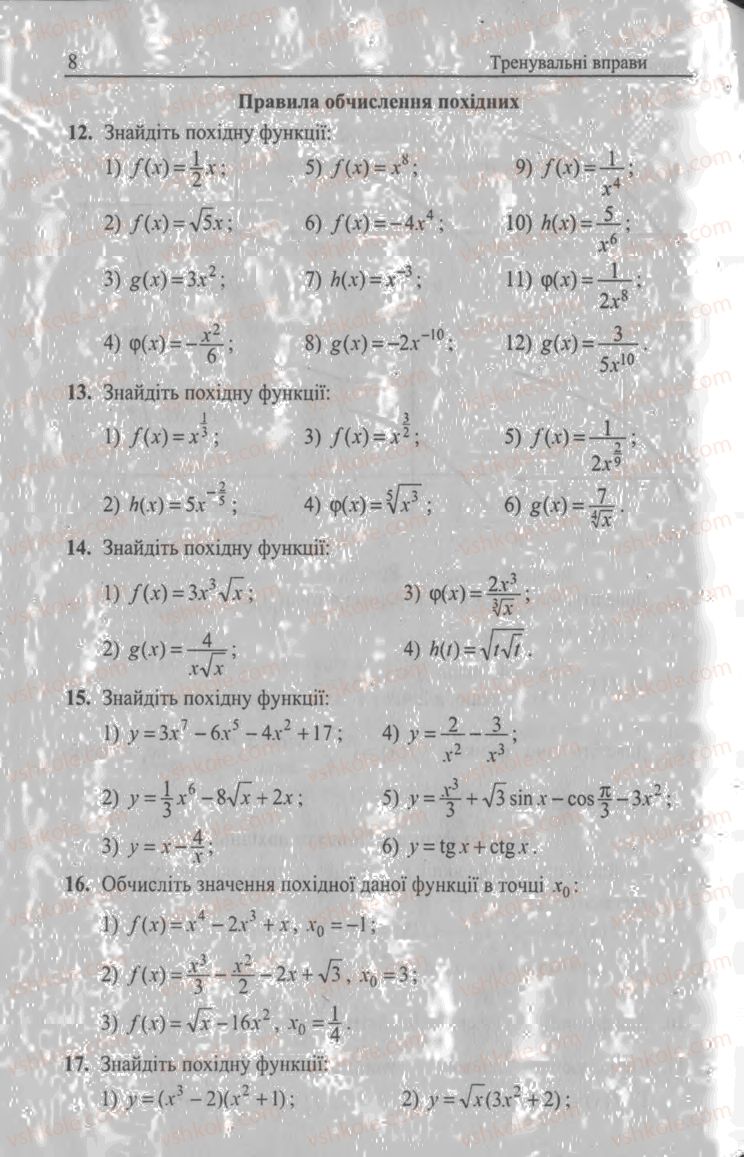
Тренувальні вправи
стр. 6 - 69
Варіант 1
стр. 6 - 37
Варіант 2
стр. 38 - 69
+
Контрольні роботи
стр. 70 - 83
Варіант 1
стр. 70 - 76
Варіант 2
стр. 77 - 83
Відповіді та вказівки до тренувальних вправ
стр. 84 - 92
Таблиця похідних деяких функцій
стр. 93 - 93
Таблиця первісних деяких функцій
стр. 94 - 94
Тренувальні вправи -
Варіант 1
Назад до сторінки
7
Сторінка
Вперед до сторінки
9
Назад до сторінки
7
Сторінка
Вперед до сторінки
9