Підручник Алгебра і початок аналізу 11 клас М.І. Шкіль, З.І. Слєпкань, О.С. Дубинчук (2001 рік)
Сторінка 252 з 653

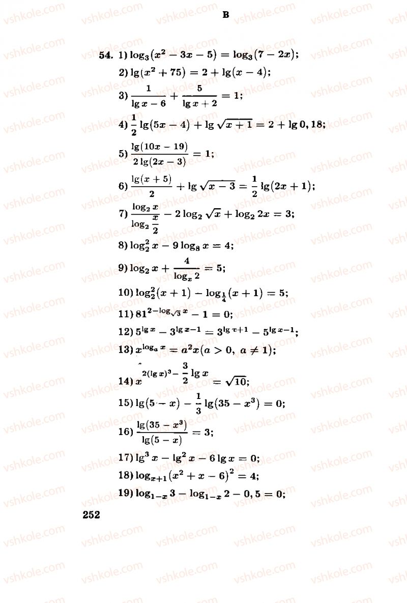
Страница 252 | Підручник Алгебра 11 клас М.І. Шкіль, З.І. Слєпкань, О.С. Дубинчук 2001