Українські підручники
ГДЗ
онлайн
Українські підручники
ГДЗ
онлайн
1-клас
2-клас
3-клас
4-клас
5-клас
6-клас
7-клас
8-клас
9-клас
10-клас
11-клас
ГДЗ
10 клас
Підручники
10 клас
ГДЗ 10 клас
>
Алгебра
>
А.Г. Мерзляк, Д.А. Номіровський, В.Б. Полонський, М.С. Якір
А.Г. Мерзляк, Д.А. Номіровський, В.Б. Полонський, М.С. Якір
§ 2. Функції, многочлени, рівняння і нерівності
5. Повторення та розширення відомостей про функцію
Завдання 75 - 5. Повторення та розширення відомостей про функцію - § 2. Функції, многочлени, рівняння і нерівності
Назад до
74
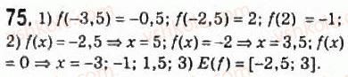
№ 75
Вперед до
76
Завдання можно рухати вправо/вліво
73
74
75
76
77
78
79
80
81
82
83
84
85
86
87
88
89
90
91
92
93
94
95
96
97
98
99