Українські підручники
ГДЗ
онлайн
Українські підручники
ГДЗ
онлайн
1-клас
2-клас
3-клас
4-клас
5-клас
6-клас
7-клас
8-клас
9-клас
10-клас
11-клас
ГДЗ
10 клас
Підручники
10 клас
ГДЗ 10 клас
>
Алгебра
>
А.Г. Мерзляк, Д.А. Номіровський, В.Б. Полонський, М.С. Якір
А.Г. Мерзляк, Д.А. Номіровський, В.Б. Полонський, М.С. Якір
§ 1. Повторення та розширення відомостей про множини та функції
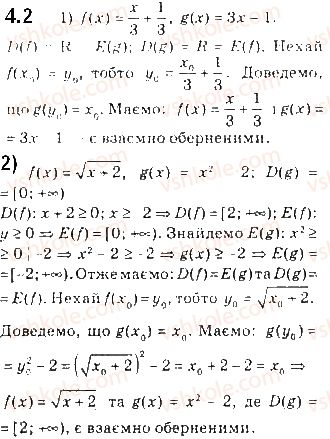
4. Обернена функція
Завдання 2 - 4. Обернена функція - § 1. Повторення та розширення відомостей про множини та функції
Назад до
1
№ 2
Вперед до
3
Завдання можно рухати вправо/вліво
1
2
3
4
5
6
7
8
9
10
11
12
13
14
15