Українські підручники
ГДЗ
онлайн
Українські підручники
ГДЗ
онлайн
1-клас
2-клас
3-клас
4-клас
5-клас
6-клас
7-клас
8-клас
9-клас
10-клас
11-клас
ГДЗ
10 клас
Підручники
10 клас
ГДЗ 10 клас
>
Алгебра
>
А.Г. Мерзляк, Д.А. Номіровський, В.Б. Полонський, М.С. Якір
А.Г. Мерзляк, Д.А. Номіровський, В.Б. Полонський, М.С. Якір
§ 3. Тригонометричні функції
24. Формули зведення
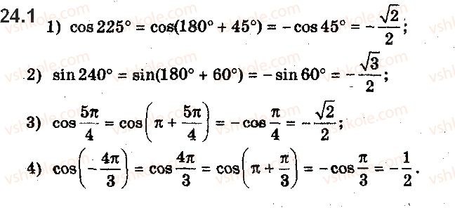
Завдання 1 - 24. Формули зведення - § 3. Тригонометричні функції
№ 1
Вперед до
2
Завдання можно рухати вправо/вліво
1
2
3
4
5
6
7
8
9