Українські підручники
ГДЗ
онлайн
Українські підручники
ГДЗ
онлайн
1-клас
2-клас
3-клас
4-клас
5-клас
6-клас
7-клас
8-клас
9-клас
10-клас
11-клас
ГДЗ
10 клас
Підручники
10 клас
ГДЗ 10 клас
>
Алгебра
>
А.Г. Мерзляк, Д.А. Номіровський, В.Б. Полонський, М.С. Якір
А.Г. Мерзляк, Д.А. Номіровський, В.Б. Полонський, М.С. Якір
§ 5. Похідна та її застосування
35. Задачі про миттєву швидкість і дотичну до графіка функції
Завдання 5 - 35. Задачі про миттєву швидкість і дотичну до графіка функції - § 5. Похідна та її застосування
Назад до
4
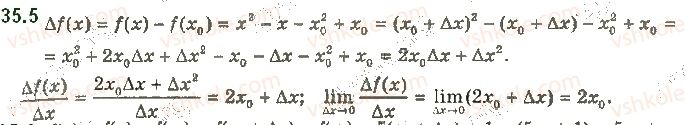
№ 5
Вперед до
6
Завдання можно рухати вправо/вліво
1
2
3
4
5
6
7
8
9
10