Українські підручники
ГДЗ
онлайн
Українські підручники
ГДЗ
онлайн
1-клас
2-клас
3-клас
4-клас
5-клас
6-клас
7-клас
8-клас
9-клас
10-клас
11-клас
ГДЗ
10 клас
Підручники
10 клас
ГДЗ 10 клас
>
Алгебра
>
А.Г. Мерзляк, В.Б. Полонський, Ю.М. Рабінович, М.С. Якір
А.Г. Мерзляк, В.Б. Полонський, Ю.М. Рабінович, М.С. Якір
Підсумкові контрольні роботи
Контрольна робота 1
Варіант 1
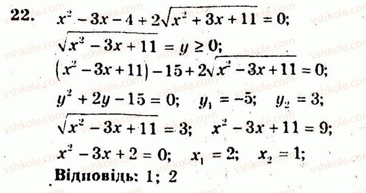
Завдання 22 - Варіант 1 - Контрольна робота 1 - Підсумкові контрольні роботи
Назад до
21
№ 22
Завдання можно рухати вправо/вліво
1
2
3
4
5
6
7
8
9
10
11
12
13
14
15
16
17
18
19
20
21
22