Українські підручники
решебники
(
ГДЗ
)
онлайн
Українські підручники
решебники
(
ГДЗ
)
онлайн
1-клас
2-клас
3-клас
4-клас
5-клас
6-клас
7-клас
8-клас
9-клас
10-клас
11-клас
Решебники
для
10-го класу
Підручники
для
10-го класу
Решебники за 10 клас
>
Алгебра
>
О.С. Істер, О.В. Єргіна
О.С. Істер, О.В. Єргіна
Розділ 3. Тригонометричні функції
§ 18. Радіанне вимірювання кутів
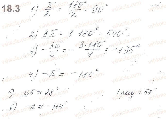
Завдання 3 - § 18. Радіанне вимірювання кутів - Розділ 3. Тригонометричні функції
Назад до
2
№ 3
Вперед до
4
Завдання можно рухати вправо/вліво
1
2
3
4
5
6
7
8
9
10
11
12
13
14
15
18
19
20
21
22
23
24
25
26
27
31
32
33
34
35
36
41
42
43
44
45