Українські підручники
ГДЗ
онлайн
Українські підручники
ГДЗ
онлайн
1-клас
2-клас
3-клас
4-клас
5-клас
6-клас
7-клас
8-клас
9-клас
10-клас
11-клас
ГДЗ
10 клас
Підручники
10 клас
ГДЗ 10 клас
>
Алгебра
>
Є.П. Нелін
Є.П. Нелін
РОЗДІЛ 2. СТЕПЕНЕВА ФУНКЦІЯ
§ 14. Ірраціональні нерівності
Завдання 2 - § 14. Ірраціональні нерівності - РОЗДІЛ 2. СТЕПЕНЕВА ФУНКЦІЯ
Назад до
1
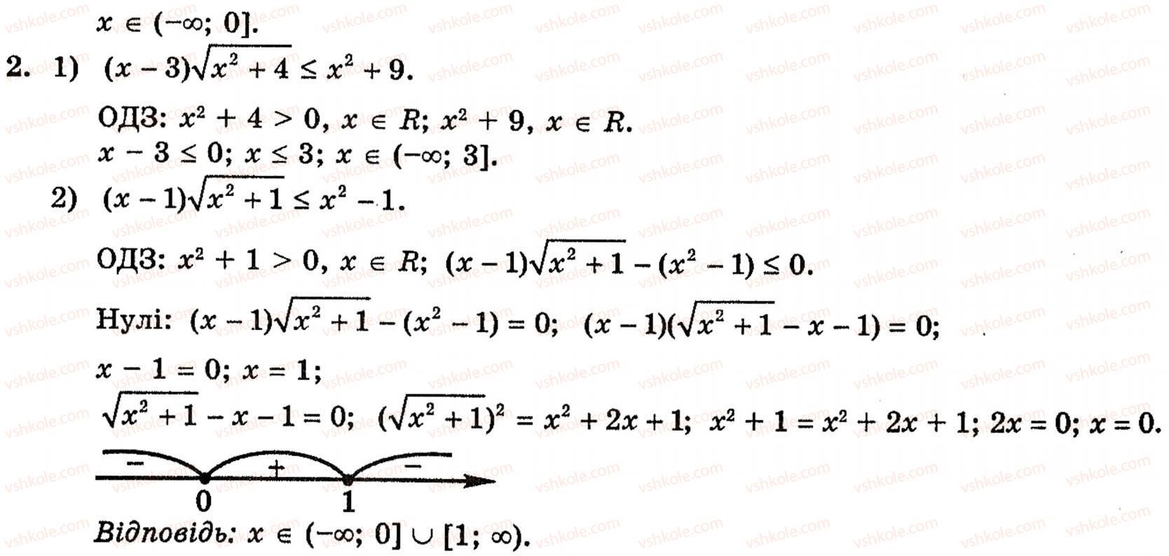
№ 2
Вперед до
3
Завдання можно рухати вправо/вліво
1
2
3
4
5
6
7
8