Українські підручники
ГДЗ
онлайн
Українські підручники
ГДЗ
онлайн
1-клас
2-клас
3-клас
4-клас
5-клас
6-клас
7-клас
8-клас
9-клас
10-клас
11-клас
ГДЗ
10 клас
Підручники
10 клас
ГДЗ 10 клас
>
Геометрія
>
Г.П. Бевз, В.Г. Бевз, Н.Г. Владимирова
Г.П. Бевз, В.Г. Бевз, Н.Г. Владимирова
РОЗДІЛ 2. ВСТУП ДО СТЕРЕОМЕТРІЇ
§ 3. Основні поняття стереометрії
Завдання 125 - § 3. Основні поняття стереометрії - РОЗДІЛ 2. ВСТУП ДО СТЕРЕОМЕТРІЇ
Назад до
124
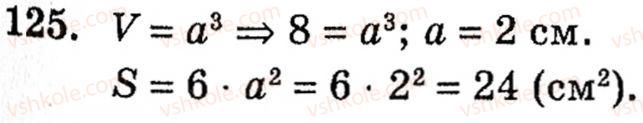
№ 125
Завдання можно рухати вправо/вліво
107
108
109
110
111
112
113
114
115
116
117
118
119
120
121
123
124
125