Українські підручники
ГДЗ
онлайн
Українські підручники
ГДЗ
онлайн
1-клас
2-клас
3-клас
4-клас
5-клас
6-клас
7-клас
8-клас
9-клас
10-клас
11-клас
ГДЗ
10 клас
Підручники
10 клас
ГДЗ 10 клас
>
Математика
>
О.С. Істер
О.С. Істер
Частина 1. Алгебра
§ 8. Радіанне вимірювання кутів. Тригонометричні функції числового аргументу
Завдання 14 - § 8. Радіанне вимірювання кутів. Тригонометричні функції числового аргументу - Частина 1. Алгебра
Назад до
13
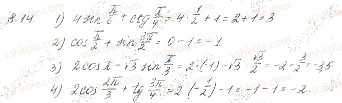
№ 14
Вперед до
15
Завдання можно рухати вправо/вліво
1
2
3
4
5
6
7
8
9
10
11
12
13
14
15
16
17
18
19
20
21
22
23
24
25
27
28
29
30
31
32
33
34
35
36
37
38