Українські підручники
ГДЗ
онлайн
Українські підручники
ГДЗ
онлайн
1-клас
2-клас
3-клас
4-клас
5-клас
6-клас
7-клас
8-клас
9-клас
10-клас
11-клас
ГДЗ
11 клас
Підручники
11 клас
ГДЗ 11 клас
>
Алгебра
>
Г.П. Бевз, В.Г. Бевз, Н.Г. Владимирова
Г.П. Бевз, В.Г. Бевз, Н.Г. Владимирова
§ 13. Дотична до графіка функції і похідна
Завдання 528 - § 13. Дотична до графіка функції і похідна
Назад до
527
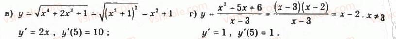
№ 528
Вперед до
529
Завдання можно рухати вправо/вліво
498
499
500
501
502
503
504
505
506
507
508
509
510
511
512
513
514
515
516
517
518
519
520
521
522
523
524
525
526
527
528
529