Українські підручники
ГДЗ онлайн

Українські підручники ГДЗ онлайн

Школьные игры
ГДЗ 11 клас Підручники 11 клас
ГДЗ 11 клас > Алгебра > Г.П. Бевз, В.Г. Бевз, Н.Г. Владимирова
Г.П. Бевз, В.Г. Бевз, Н.Г. Владимирова § 40. Задачі з параматрами

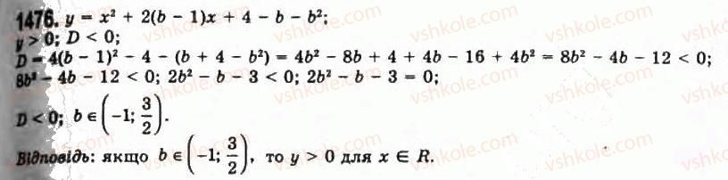
Завдання 1476 - § 40. Задачі з параматрами

Назад до 1475 № 1476 Вперед до 1477
zoom-minus zoom-plus
Завдання можно рухати вправо/вліво

11-algebra-gp-bevz-vg-bevz-ng-vladimirova-2011-akademichnij-profilnij-rivni--40-zadachi-z-paramatrami-1476.jpg

  • 1464
  • 1465
  • 1466
  • 1467
  • 1468
  • 1469
  • 1470
  • 1471
  • 1472
  • 1473
  • 1475
  • 1476
  • 1477
  • 1478
  • 1479
  • 1480
  • 1481
  • 1482
  • 1483
  • 1484
  • 1485
  • 1486
  • 1487
  • 1488
  • 1489
  • 1490
  • 1491
  • 1492
  • 1493
  • 1494
  • 1495
  • 1496
  • 1497
  • 1498
  • 1500
  • 1501
  • 1502
  • 1503
  • 1504
  • 1505
  • 1506
  • 1507
  • 1508
  • 1509
  • 1510
  • 1511
  • 1512
  • 1515
  • 1516
  • 1517
  • 1520
  • 1521
Ми
у твоєму
телефоні
Вшколі - це твій помічник, який допоможе тобі швидко знайти відповідь на завдання або завантажити підручник зі шкільної програми без жодних обмежень.
vshkole.com - це портал, на якому ти зможеш знайти підручники і роз'язники (ГДЗ) з усіх предметів шкільної програми для різних класів. Сайт адаптовано під твій смартфон.
Команда порталу доклала дуже багато зусиль, щоб в тебе не виникало проблем з пошуком потрібної інформації. Користуйся із задоволенням!!! Зв'язатися з нами