Українські підручники
ГДЗ
онлайн
Українські підручники
ГДЗ
онлайн
1-клас
2-клас
3-клас
4-клас
5-клас
6-клас
7-клас
8-клас
9-клас
10-клас
11-клас
ГДЗ
11 клас
Підручники
11 клас
ГДЗ 11 клас
>
Алгебра
>
Є.П. Нелін, О.Є. Долгова
Є.П. Нелін, О.Є. Долгова
Розділ 1. ГРАНИЦЯ Й НЕПЕРЕРВНІСТЬ ФУНКЦІЙ. ПОХІДНА ТА ЇЇ ЗАСТОСУВАННЯ
§ 3. Правила обчислення похідних. Похідна складеної функції
Завдання 4 - § 3. Правила обчислення похідних. Похідна складеної функції - Розділ 1. ГРАНИЦЯ Й НЕПЕРЕРВНІСТЬ ФУНКЦІЙ. ПОХІДНА ТА ЇЇ ЗАСТОСУВАННЯ
Назад до
3
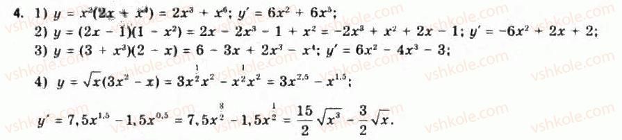
№ 4
Вперед до
5
Завдання можно рухати вправо/вліво
1
2
3
4
5
6
7
8
9
10
11
12