Українські підручники
ГДЗ
онлайн
Українські підручники
ГДЗ
онлайн
1-клас
2-клас
3-клас
4-клас
5-клас
6-клас
7-клас
8-клас
9-клас
10-клас
11-клас
ГДЗ
11 клас
Підручники
11 клас
ГДЗ 11 клас
>
Алгебра
>
Є.П. Нелін, О.Є. Долгова
Є.П. Нелін, О.Є. Долгова
Розділ 2. ПОКАЗНИКОВА Й ЛОГАРИФМІЧНА ФУНКЦІЇ
Додаткові вправи до розділу
Завдання 14 - Додаткові вправи до розділу - Розділ 2. ПОКАЗНИКОВА Й ЛОГАРИФМІЧНА ФУНКЦІЇ
Назад до
13
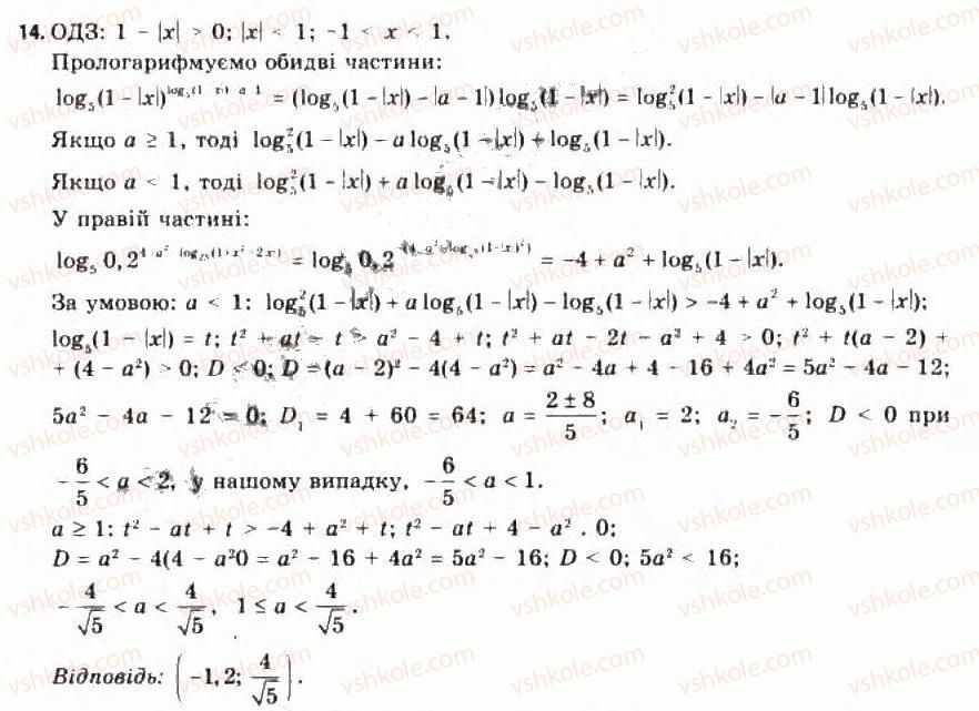
№ 14
Вперед до
15
Завдання можно рухати вправо/вліво
1
2
3
4
5
6
7
9
10
11
12
13
14
15