Українські підручники
ГДЗ
онлайн
Українські підручники
ГДЗ
онлайн
1-клас
2-клас
3-клас
4-клас
5-клас
6-клас
7-клас
8-клас
9-клас
10-клас
11-клас
ГДЗ
11 клас
Підручники
11 клас
ГДЗ 11 клас
>
Математика
>
Г.П. Бевз, В.Г. Бевз
Г.П. Бевз, В.Г. Бевз
Розділ 2. Інтеграл та його застосування
§ 8. Застосування визначених інтегралів
Завдання 314 - § 8. Застосування визначених інтегралів - Розділ 2. Інтеграл та його застосування
Назад до
313
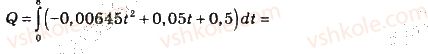
№ 314
Вперед до
315
Завдання можно рухати вправо/вліво
307
308
309
310
312
313
314
315
317
318
319
321
322
324