Українські підручники
ГДЗ
онлайн
Українські підручники
ГДЗ
онлайн
1-клас
2-клас
3-клас
4-клас
5-клас
6-клас
7-клас
8-клас
9-клас
10-клас
11-клас
ГДЗ
11 клас
Підручники
11 клас
ГДЗ 11 клас
>
Математика
>
О.С. Істер
О.С. Істер
Алгебра. Розділ 1. Показникова та логарифмічна функції
§ 6. Логарифмічні рівняння
Завдання 35 - § 6. Логарифмічні рівняння - Алгебра. Розділ 1. Показникова та логарифмічна функції
Назад до
34
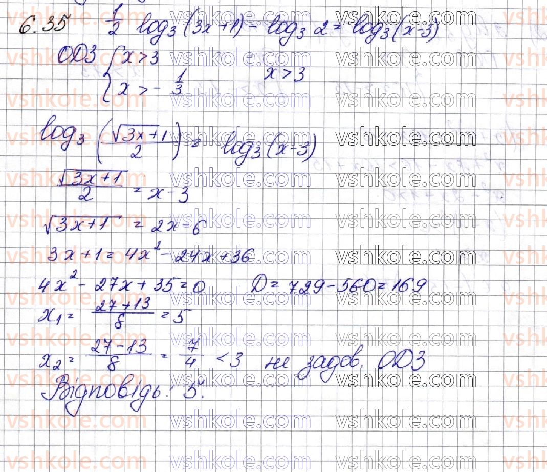
№ 35
Вперед до
36
Завдання можно рухати вправо/вліво
1
2
3
4
5
6
7
8
9
10
11
12
13
14
15
16
17
18
19
20
21
22
23
24
25
26
27
28
29
30
31
32
33
34
35
36
37
38
39
40
41
43
44