Українські підручники
ГДЗ
онлайн
Українські підручники
ГДЗ
онлайн
1-клас
2-клас
3-клас
4-клас
5-клас
6-клас
7-клас
8-клас
9-клас
10-клас
11-клас
ГДЗ
5 клас
Підручники
5 клас
Відеоуроки
5 клас
ГДЗ 5 клас
>
Математика
>
А.Г. Мерзляк, В.Б. Полонський, М.С. Якір
А.Г. Мерзляк, В.Б. Полонський, М.С. Якір
§ 1. Натуральні числа
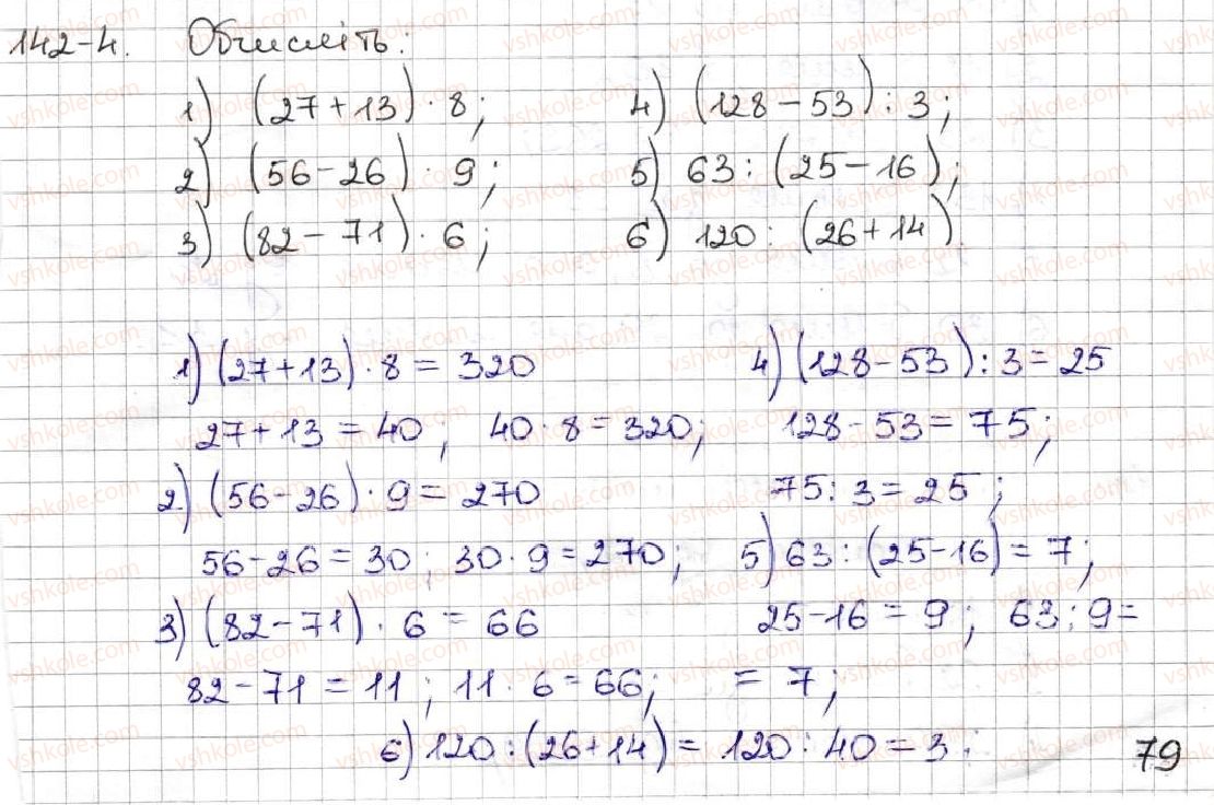
Розв'язуємо усно № 6
Завдання 4 - Розв'язуємо усно № 6 - § 1. Натуральні числа
Назад до
3
№ 4
Вперед до
5
Завдання можно рухати вправо/вліво
1
2
3
4
5