Українські підручники
ГДЗ
онлайн
Українські підручники
ГДЗ
онлайн
1-клас
2-клас
3-клас
4-клас
5-клас
6-клас
7-клас
8-клас
9-клас
10-клас
11-клас
ГДЗ
5 клас
Підручники
5 клас
Відеоуроки
5 клас
ГДЗ 5 клас
>
Математика
>
О.С. Істер
О.С. Істер
Розділ 2. Дробові числа і дії з ними
Домашня самостійна робота № 9
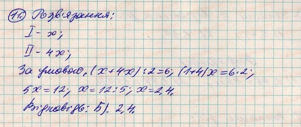
Завдання 11 - Домашня самостійна робота № 9 - Розділ 2. Дробові числа і дії з ними
Назад до
10
№ 11
Вперед до
12
Завдання можно рухати вправо/вліво
1
2
3
4
5
6
7
8
9
10
11
12