Українські підручники
ГДЗ
онлайн
Українські підручники
ГДЗ
онлайн
1-клас
2-клас
3-клас
4-клас
5-клас
6-клас
7-клас
8-клас
9-клас
10-клас
11-клас
ГДЗ
7 клас
Підручники
7 клас
ГДЗ 7 клас
>
Алгебра
>
А.Г. Мерзляк, В.Б. Полонський, М.С. Якір
А.Г. Мерзляк, В.Б. Полонський, М.С. Якір
§ 2. Цілі вирази
18. Сума й різниця кубів двох виразів
Завдання 764 - 18. Сума й різниця кубів двох виразів - § 2. Цілі вирази
Назад до
763
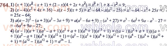
№ 764
Вперед до
765
Завдання можно рухати вправо/вліво
750
751
752
753
758
759
760
761
762
763
764
765
766
767
768
769
770
771
772
773
774
775
776
777
778
779
782
783
784
785
786
787