Українські підручники
ГДЗ
онлайн
Українські підручники
ГДЗ
онлайн
1-клас
2-клас
3-клас
4-клас
5-клас
6-клас
7-клас
8-клас
9-клас
10-клас
11-клас
ГДЗ
7 клас
Підручники
7 клас
ГДЗ 7 клас
>
Алгебра
>
Г.М. Янченко, В.Р. Кравчук
Г.М. Янченко, В.Р. Кравчук
§ 4. МНОГОЧЛЕНИ
11. Додавання і віднімання многочленів
Завдання 385 - 11. Додавання і віднімання многочленів - § 4. МНОГОЧЛЕНИ
Назад до
384
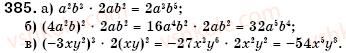
№ 385
Вперед до
386
Завдання можно рухати вправо/вліво
363
364
365
366
367
368
369
370
371
372
373
374
375
376
377
378
379
380
381
382
383
384
385
386
387