Українські підручники
ГДЗ
онлайн
Українські підручники
ГДЗ
онлайн
1-клас
2-клас
3-клас
4-клас
5-клас
6-клас
7-клас
8-клас
9-клас
10-клас
11-клас
ГДЗ
7 клас
Підручники
7 клас
ГДЗ 7 клас
>
Алгебра
>
Г.М. Янченко, В.Р. Кравчук
Г.М. Янченко, В.Р. Кравчук
§ 5. ФОРМУЛИ СКОРОЧЕНОГО МНОЖЕННЯ
18. Розкладання на множники різниці квадратів двох виразів
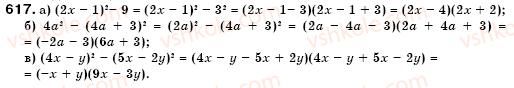
Завдання 617 - 18. Розкладання на множники різниці квадратів двох виразів - § 5. ФОРМУЛИ СКОРОЧЕНОГО МНОЖЕННЯ
Назад до
616
№ 617
Вперед до
618
Завдання можно рухати вправо/вліво
606
607
608
609
610
611
612
613
614
615
616
617
618
619
620
621
622
623
624
625
626
627
628
629
630
631