Українські підручники
ГДЗ
онлайн
Українські підручники
ГДЗ
онлайн
1-клас
2-клас
3-клас
4-клас
5-клас
6-клас
7-клас
8-клас
9-клас
10-клас
11-клас
ГДЗ
7 клас
Підручники
7 клас
ГДЗ 7 клас
>
Алгебра
>
Г.М. Янченко, В.Р. Кравчук
Г.М. Янченко, В.Р. Кравчук
§ 7. СИСТЕМИ ЛІНІЙНИХ РІВНЯНЬ ІЗ ДВОМА ЗМІННИМИ
26. Рівняння із двома змінними
Завдання 909 - 26. Рівняння із двома змінними - § 7. СИСТЕМИ ЛІНІЙНИХ РІВНЯНЬ ІЗ ДВОМА ЗМІННИМИ
Назад до
908
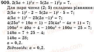
№ 909
Вперед до
910
Завдання можно рухати вправо/вліво
894
895
896
897
898
899
900
901
902
903
904
905
906
907
908
909
910
911
912
913