Українські підручники
ГДЗ
онлайн
Українські підручники
ГДЗ
онлайн
1-клас
2-клас
3-клас
4-клас
5-клас
6-клас
7-клас
8-клас
9-клас
10-клас
11-клас
ГДЗ
7 клас
Підручники
7 клас
ГДЗ 7 клас
>
Алгебра
>
Г.П. Бевз, В.Г. Бевз
Г.П. Бевз, В.Г. Бевз
ЛІНІЙНІ РІВНЯННЯ З ОДНІЄЮ ЗМІННОЮ
§ 1. Загальні відомості про рівняння
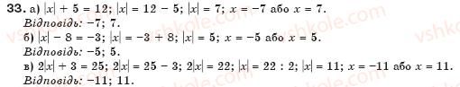
Завдання 33 - § 1. Загальні відомості про рівняння - ЛІНІЙНІ РІВНЯННЯ З ОДНІЄЮ ЗМІННОЮ
Назад до
32
№ 33
Вперед до
34
Завдання можно рухати вправо/вліво
8
9
10
11
12
13
14
15
16
17
18
19
20
21
22
23
24
25
26
27
28
29
30
31
32
33
34
35
36
37
38
39
40
41
42
43
44
45
46
47