Українські підручники
ГДЗ
онлайн
Українські підручники
ГДЗ
онлайн
1-клас
2-клас
3-клас
4-клас
5-клас
6-клас
7-клас
8-клас
9-клас
10-клас
11-клас
ГДЗ
7 клас
Підручники
7 клас
ГДЗ 7 клас
>
Алгебра
>
Г.П. Бевз, В.Г. Бевз
Г.П. Бевз, В.Г. Бевз
РОЗКЛАДАННЯ МНОГОЧЛЕНІВ НА МНОЖНИКИ
§ 14. Винесення спільного множника за дужки
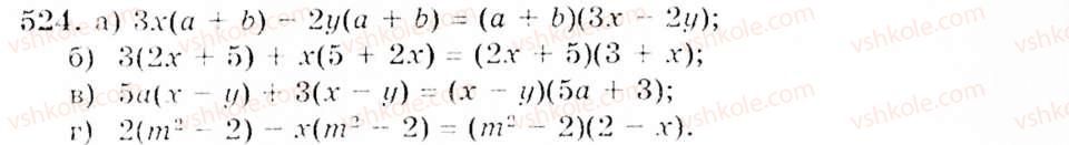
Завдання 524 - § 14. Винесення спільного множника за дужки - РОЗКЛАДАННЯ МНОГОЧЛЕНІВ НА МНОЖНИКИ
Назад до
523
№ 524
Вперед до
525
Завдання можно рухати вправо/вліво
517
518
519
520
521
522
523
524
525
526
527
528
529
530
531
532
533
534
535
536
537
538
539
540
541
542
543
544
545
546
547
548
550
551
552