Українські підручники
ГДЗ
онлайн
Українські підручники
ГДЗ
онлайн
1-клас
2-клас
3-клас
4-клас
5-клас
6-клас
7-клас
8-клас
9-клас
10-клас
11-клас
ГДЗ
7 клас
Підручники
7 клас
ГДЗ 7 клас
>
Алгебра
>
Г.П. Бевз, В.Г. Бевз
Г.П. Бевз, В.Г. Бевз
ЦІЛІ ВИРАЗИ
§ 11. Додавання і віднімання многочленів
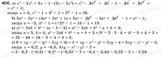
Завдання 406 - § 11. Додавання і віднімання многочленів - ЦІЛІ ВИРАЗИ
Назад до
405
№ 406
Вперед до
407
Завдання можно рухати вправо/вліво
399
400
401
402
403
404
405
406
407
408
409
410
411
412
413
414
415
416
417
418
419
420
421
422
423
424
425
426
427
428
429
430
431
432