Українські підручники
ГДЗ
онлайн
Українські підручники
ГДЗ
онлайн
1-клас
2-клас
3-клас
4-клас
5-клас
6-клас
7-клас
8-клас
9-клас
10-клас
11-клас
ГДЗ
7 клас
Підручники
7 клас
ГДЗ 7 клас
>
Алгебра
>
О.С. Істер
О.С. Істер
Розділ 2. Цілі вирази
§ 20. Сума і різниця кубів (Уроки 51, 52)
Завдання 685 - § 20. Сума і різниця кубів (Уроки 51, 52) - Розділ 2. Цілі вирази
Назад до
684
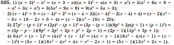
№ 685
Вперед до
686
Завдання можно рухати вправо/вліво
669
670
671
672
673
674
675
676
677
678
679
680
681
682
683
684
685
686
687
688
689
690
691
692
693
694
695