|
|
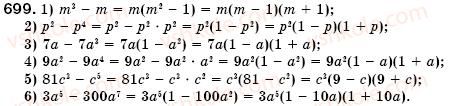
Завдання 699 - § 21. Застосування кількох способів розкладання многочленів на множники (Уроки 53-55) - Розділ 2. Цілі вирази |
|
|
Завдання 699 - § 21. Застосування кількох способів розкладання многочленів на множники (Уроки 53-55) - Розділ 2. Цілі вирази |