Українські підручники
ГДЗ
онлайн
Українські підручники
ГДЗ
онлайн
1-клас
2-клас
3-клас
4-клас
5-клас
6-клас
7-клас
8-клас
9-клас
10-клас
11-клас
ГДЗ
7 клас
Підручники
7 клас
ГДЗ 7 клас
>
Алгебра
>
О.С. Істер
О.С. Істер
Розділ 2. Цілі вирази
§ 9. Множення одночленів. Піднесення одночленів до степеня (Уроки 20, 21)
Завдання 294 - § 9. Множення одночленів. Піднесення одночленів до степеня (Уроки 20, 21) - Розділ 2. Цілі вирази
Назад до
293
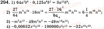
№ 294
Вперед до
295
Завдання можно рухати вправо/вліво
279
280
281
282
283
284
285
286
287
288
289
291
292
293
294
295
296
297
298
299
300
301
302
303
304
305