Українські підручники
ГДЗ
онлайн
Українські підручники
ГДЗ
онлайн
1-клас
2-клас
3-клас
4-клас
5-клас
6-клас
7-клас
8-клас
9-клас
10-клас
11-клас
ГДЗ
7 клас
Підручники
7 клас
ГДЗ 7 клас
>
Алгебра
>
О.С. Істер
О.С. Істер
Контрольна робота 6
Варіант 4
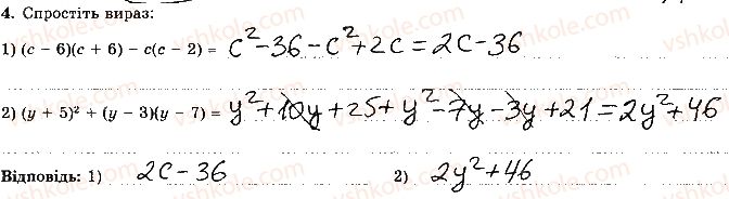
Завдання 4 - Варіант 4 - Контрольна робота 6
Назад до
3
№ 4
Вперед до
5
Завдання можно рухати вправо/вліво
1
2
3
4
5
6
7
8
9