Українські підручники
ГДЗ
онлайн
Українські підручники
ГДЗ
онлайн
1-клас
2-клас
3-клас
4-клас
5-клас
6-клас
7-клас
8-клас
9-клас
10-клас
11-клас
ГДЗ
7 клас
Підручники
7 клас
ГДЗ 7 клас
>
Алгебра
>
В.Р. Кравчук, М.В. Підручна, Г.М. Янченко
В.Р. Кравчук, М.В. Підручна, Г.М. Янченко
Завдання для самоперевiрки
Завдання 2
Завдання 13 - Завдання 2 - Завдання для самоперевiрки
Назад до
12
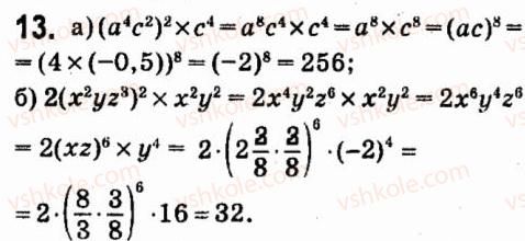
№ 13
Вперед до
14
Завдання можно рухати вправо/вліво
1
2
3
4
5
6
7
8
9
10
11
12
13
14
15
16
17