Українські підручники
ГДЗ
онлайн
Українські підручники
ГДЗ
онлайн
1-клас
2-клас
3-клас
4-клас
5-клас
6-клас
7-клас
8-клас
9-клас
10-клас
11-клас
ГДЗ
7 клас
Підручники
7 клас
ГДЗ 7 клас
>
Фізика
>
В.Р. Ільченко, С.Г. Куликовський, О.Г. Ільченко
В.Р. Ільченко, С.Г. Куликовський, О.Г. Ільченко
Розділ 2. Будова речовини
Задачі до розділу 2
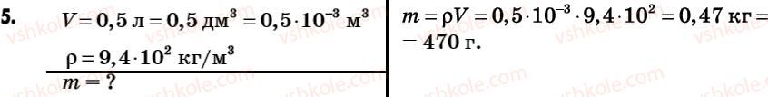
Завдання 5 - Задачі до розділу 2 - Розділ 2. Будова речовини
Назад до
4
№ 5
Вперед до
6
Завдання можно рухати вправо/вліво
1
2
3
4
5
6
7
8