Українські підручники
ГДЗ
онлайн
Українські підручники
ГДЗ
онлайн
1-клас
2-клас
3-клас
4-клас
5-клас
6-клас
7-клас
8-клас
9-клас
10-клас
11-клас
ГДЗ
7 клас
Підручники
7 клас
ГДЗ 7 клас
>
Геометрія
>
А.Г. Мерзляк, В.Б. Полонський, М.С. Якір
А.Г. Мерзляк, В.Б. Полонський, М.С. Якір
§ 3. Паралельні прямі. Сума кутів трикутника
14. Ознаки паралельності двох прямих
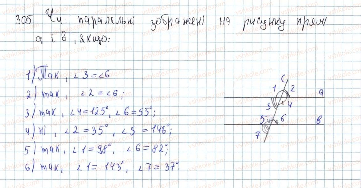
Завдання 305 - 14. Ознаки паралельності двох прямих - § 3. Паралельні прямі. Сума кутів трикутника
Назад до
304
№ 305
Вперед до
306
Завдання можно рухати вправо/вліво
300
301
302
303
304
305
306
307
308
309
310
311
312
313
314
315
316
317
318
319
320
321
322
323
324
325