Українські підручники
ГДЗ
онлайн
Українські підручники
ГДЗ
онлайн
1-клас
2-клас
3-клас
4-клас
5-клас
6-клас
7-клас
8-клас
9-клас
10-клас
11-клас
ГДЗ
7 клас
Підручники
7 клас
ГДЗ 7 клас
>
Геометрія
>
Г.П. Бевз, В.Г. Бевз, Н.Г. Владімірова
Г.П. Бевз, В.Г. Бевз, Н.Г. Владімірова
РОЗДІЛ 3. ТРИКУТНИКИ
Самостійна робота 4
Варіант 4
Завдання 4 - Варіант 4 - Самостійна робота 4 - РОЗДІЛ 3. ТРИКУТНИКИ
Назад до
3
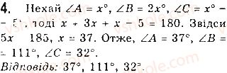
№ 4
Завдання можно рухати вправо/вліво
1
2
3
4