Українські підручники
ГДЗ
онлайн
Українські підручники
ГДЗ
онлайн
1-клас
2-клас
3-клас
4-клас
5-клас
6-клас
7-клас
8-клас
9-клас
10-клас
11-клас
ГДЗ
7 клас
Підручники
7 клас
ГДЗ 7 клас
>
Хімія
>
П.П. Попель, Л.С. Крикля
П.П. Попель, Л.С. Крикля
Розділ 3. Вода
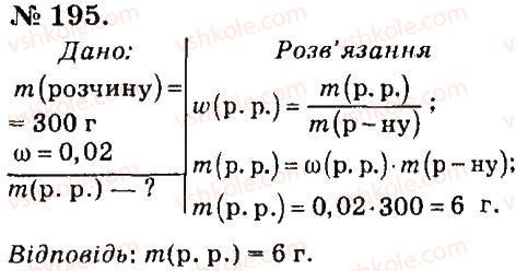
Завдання 195 - Розділ 3. Вода
Назад до
192
№ 195
Вперед до
196
Завдання можно рухати вправо/вліво
181
182
184
187
188
189
190
192
195
196
197
198
199
200
201
202
203
204
205
206
207
208
209
210
211
212
213
214
215
216
218
219
220
221
222
223
224