Українські підручники
ГДЗ
онлайн
Українські підручники
ГДЗ
онлайн
1-клас
2-клас
3-клас
4-клас
5-клас
6-клас
7-клас
8-клас
9-клас
10-клас
11-клас
ГДЗ
8 клас
Підручники
8 клас
ГДЗ 8 клас
>
Алгебра
>
А.Г. Мерзляк, В.Б. Полонський, М.С. Якір
А.Г. Мерзляк, В.Б. Полонський, М.С. Якір
Вправи для повторення курсу алгебри 8 класу
Завдання 866 - Вправи для повторення курсу алгебри 8 класу
Назад до
863
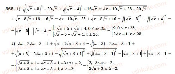
№ 866
Вперед до
867
Завдання можно рухати вправо/вліво
796
801
802
807
808
809
810
811
812
813
820
821
822
824
825
827
829
832
834
836
843
846
852
863
866
867
877
878
879
882
883
884
885
888
891
892
893