Українські підручники
ГДЗ
онлайн
Українські підручники
ГДЗ
онлайн
1-клас
2-клас
3-клас
4-клас
5-клас
6-клас
7-клас
8-клас
9-клас
10-клас
11-клас
ГДЗ
8 клас
Підручники
8 клас
ГДЗ 8 клас
>
Алгебра
>
А.Г. Мерзляк, В.Б. Полонський, M.С. Якір
А.Г. Мерзляк, В.Б. Полонський, M.С. Якір
Перевірте себе в тестовій формі
Завдання 4
Завдання 11 - Завдання 4 - Перевірте себе в тестовій формі
Назад до
10
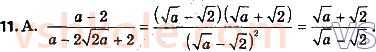
№ 11
Вперед до
12
Завдання можно рухати вправо/вліво
1
2
3
4
5
6
7
8
9
10
11
12