Українські підручники
ГДЗ
онлайн
Українські підручники
ГДЗ
онлайн
1-клас
2-клас
3-клас
4-клас
5-клас
6-клас
7-клас
8-клас
9-клас
10-клас
11-клас
ГДЗ
8 клас
Підручники
8 клас
ГДЗ 8 клас
>
Алгебра
>
О.С. Істер
О.С. Істер
Розділ 1. РАЦІОНАЛЬНІ ВИРАЗИ
§ 2. Основна властивість дробу. Скорочення дробу (Уроки 3, 4)
Завдання 38 - § 2. Основна властивість дробу. Скорочення дробу (Уроки 3, 4) - Розділ 1. РАЦІОНАЛЬНІ ВИРАЗИ
Назад до
37
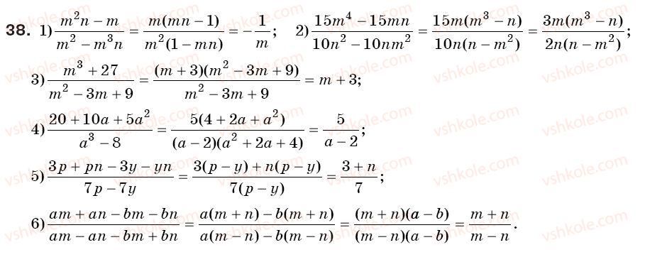
№ 38
Вперед до
39
Завдання можно рухати вправо/вліво
25
26
27
28
29
30
31
32
33
34
35
36
37
38
39
40
41
42
43
44
45
46
47
48
49
50
51
52