|
|
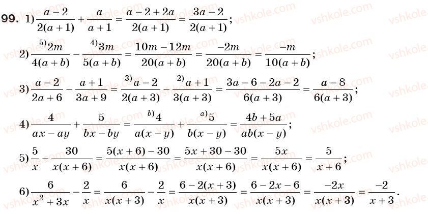
Завдання 99 - § 4. Додавання і віднімання дробів з різними знаменниками (Уроки 7-10) - Розділ 1. РАЦІОНАЛЬНІ ВИРАЗИ |
|
|
Завдання 99 - § 4. Додавання і віднімання дробів з різними знаменниками (Уроки 7-10) - Розділ 1. РАЦІОНАЛЬНІ ВИРАЗИ |