Українські підручники
ГДЗ
онлайн
Українські підручники
ГДЗ
онлайн
1-клас
2-клас
3-клас
4-клас
5-клас
6-клас
7-клас
8-клас
9-клас
10-клас
11-клас
ГДЗ
8 клас
Підручники
8 клас
ГДЗ 8 клас
>
Алгебра
>
О.С. Істер
О.С. Істер
Розділ 1. РАЦІОНАЛЬНІ ВИРАЗИ
§ 9. Степінь з цілим показником (Уроки 22, 23)
Завдання 260 - § 9. Степінь з цілим показником (Уроки 22, 23) - Розділ 1. РАЦІОНАЛЬНІ ВИРАЗИ
Назад до
259
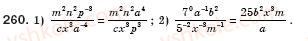
№ 260
Вперед до
261
Завдання можно рухати вправо/вліво
242
243
244
245
246
247
248
249
250
251
252
253
254
255
256
257
258
259
260
261
262
263
264
265
266
267
268
269
270