|
|
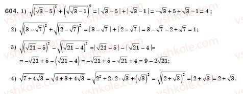
Завдання 604 - § 17. Арифметичний квадратний корінь з добутку, дробу і степеня. Добуток і частка квадратних коренів. Тотожність (Уроки 39-41) - Розділ 2. КВАДРАТНІ КОРЕНІ. ДІЙСНІ ЧИСЛА |
|
|
Завдання 604 - § 17. Арифметичний квадратний корінь з добутку, дробу і степеня. Добуток і частка квадратних коренів. Тотожність (Уроки 39-41) - Розділ 2. КВАДРАТНІ КОРЕНІ. ДІЙСНІ ЧИСЛА |