|
|
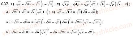
Завдання 637 - § 18. Тотожні перетворення виразів, що містять квадратні корені (Уроки 42-44) - Розділ 2. КВАДРАТНІ КОРЕНІ. ДІЙСНІ ЧИСЛА |
|
|
Завдання 637 - § 18. Тотожні перетворення виразів, що містять квадратні корені (Уроки 42-44) - Розділ 2. КВАДРАТНІ КОРЕНІ. ДІЙСНІ ЧИСЛА |