Українські підручники
ГДЗ
онлайн
Українські підручники
ГДЗ
онлайн
1-клас
2-клас
3-клас
4-клас
5-клас
6-клас
7-клас
8-клас
9-клас
10-клас
11-клас
ГДЗ
8 клас
Підручники
8 клас
ГДЗ 8 клас
>
Алгебра
>
О.С. Істер
О.С. Істер
Тематичні контрольні роботи
ТКР1
Варіант 1
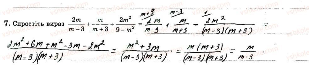
Завдання 7 - Варіант 1 - ТКР1 - Тематичні контрольні роботи
Назад до
6
№ 7
Вперед до
8
Завдання можно рухати вправо/вліво
1
2
3
4
5
6
7
8
9