Українські підручники
ГДЗ
онлайн
Українські підручники
ГДЗ
онлайн
1-клас
2-клас
3-клас
4-клас
5-клас
6-клас
7-клас
8-клас
9-клас
10-клас
11-клас
ГДЗ
8 клас
Підручники
8 клас
ГДЗ 8 клас
>
Алгебра
>
О.С. Істер
О.С. Істер
Розділ 3. Квадратні рівняння
§ 22. Теорема Вієта
Завдання 866 - § 22. Теорема Вієта - Розділ 3. Квадратні рівняння
Назад до
865
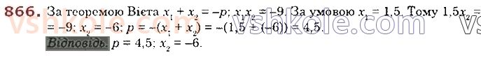
№ 866
Вперед до
867
Завдання можно рухати вправо/вліво
852
853
854
855
856
857
858
859
860
861
862
863
864
865
866
867
868
869
870
871
872
873
874
875
876
877
878
879
880