|
|
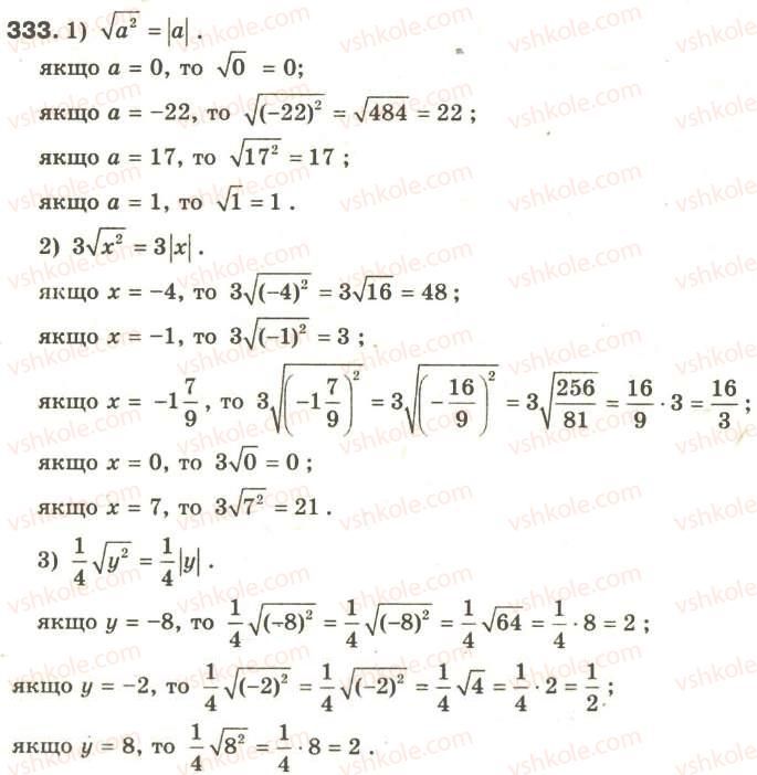
Завдання 333 - § 16. Арифметичний квадратний корінь із степеня. Тотожність √a² = |a| - Розділ 2. Квадратні корені. Дійсні числа |
|
|
Завдання 333 - § 16. Арифметичний квадратний корінь із степеня. Тотожність √a² = |a| - Розділ 2. Квадратні корені. Дійсні числа |