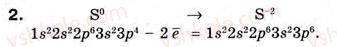
Завдання 2 - § 41. Хімічний зв’язок і будова електронних оболонок атомів - Тема 4. Хімічний зв’язок електронних оболонок атомів

zoom-minus zoom-plus
Завдання можно рухати вправо/вліво

8-himiya-og-yaroshenko-2008--tema-4-himichnij-zvyazok-elektronnih-obolonok-atomiv-41-himichnij-zvyazok-i-budova-elektronnih-obolonok-atomiv-2.jpg