Українські підручники
ГДЗ онлайн

Українські підручники ГДЗ онлайн

Школьные игры
ГДЗ 9 клас Підручники 9 клас
ГДЗ 9 клас > Геометрія > А.Г. Мерзляк, В.Б. Полонський, Ю.М. Рабінович, M.С. Якір
А.Г. Мерзляк, В.Б. Полонський, Ю.М. Рабінович, M.С. Якір ВАРІАНТ 1

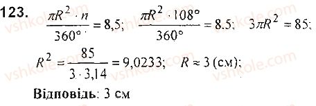
Завдання 123 - ВАРІАНТ 1

Назад до 122 № 123 Вперед до 127
zoom-minus zoom-plus
Завдання можно рухати вправо/вліво

9-geometriya-ag-merzlyak-vb-polonskij-yum-rabinovich-ms-yakir-2017-zbirnik-zadach-i-kontrolnih-robit--variant-1-123.jpg

  • 1
  • 2
  • 3
  • 4
  • 7
  • 8
  • 9
  • 10
  • 11
  • 13
  • 15
  • 18
  • 19
  • 24
  • 25
  • 26
  • 28
  • 29
  • 30
  • 31
  • 32
  • 34
  • 35
  • 36
  • 37
  • 38
  • 39
  • 40
  • 41
  • 42
  • 46
  • 47
  • 48
  • 49
  • 51
  • 52
  • 53
  • 54
  • 55
  • 56
  • 57
  • 58
  • 59
  • 60
  • 61
  • 62
  • 63
  • 64
  • 65
  • 66
  • 68
  • 69
  • 70
  • 71
  • 72
  • 73
  • 74
  • 76
  • 78
  • 79
  • 80
  • 84
  • 85
  • 86
  • 87
  • 88
  • 90
  • 93
  • 94
  • 95
  • 110
  • 112
  • 113
  • 114
  • 115
  • 116
  • 117
  • 118
  • 119
  • 120
  • 121
  • 122
  • 123
  • 127
  • 128
  • 129
  • 130
  • 131
  • 132
  • 133
  • 134
  • 135
  • 138
  • 141
Ми
у твоєму
телефоні
Вшколі - це твій помічник, який допоможе тобі швидко знайти відповідь на завдання або завантажити підручник зі шкільної програми без жодних обмежень.
vshkole.com - це портал, на якому ти зможеш знайти підручники і роз'язники (ГДЗ) з усіх предметів шкільної програми для різних класів. Сайт адаптовано під твій смартфон.
Команда порталу доклала дуже багато зусиль, щоб в тебе не виникало проблем з пошуком потрібної інформації. Користуйся із задоволенням!!! Зв'язатися з нами