|
|
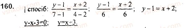
Завдання 160 - ВАРІАНТ 2 |
| Назад до 159 | № 160 | Вперед до 161 |
![]() |
![]() |
Завдання можно рухати вправо/вліво

- 1
- 2
- 3
- 4
- 7
- 8
- 9
- 10
- 11
- 13
- 14
- 15
- 16
- 17
- 18
- 19
- 20
- 23
- 24
- 28
- 29
- 30
- 31
- 32
- 34
- 35
- 36
- 37
- 38
- 41
- 42
- 43
- 46
- 47
- 50
- 51
- 54
- 56
- 57
- 58
- 59
- 60
- 61
- 62
- 64
- 68
- 69
- 70
- 72
- 74
- 76
- 84
- 95
- 99
- 100
- 106
- 113
- 115
- 116
- 117
- 120
- 122
- 123
- 131
- 132
- 133
- 134
- 135
- 137
- 139
- 141
- 144
- 147
- 148
- 149
- 150
- 151
- 152
- 154
- 155
- 156
- 157
- 158
- 159
- 160
- 161
- 162
- 163
- 164
- 168
- 169
- 171
- 173

