Українські підручники
ГДЗ онлайн

Українські підручники ГДЗ онлайн

Школьные игры
ГДЗ 9 клас Підручники 9 клас
ГДЗ 9 клас > Геометрія > А.Г. Мерзляк, В.Б. Полонський, Ю.М. Рабінович, M.С. Якір
А.Г. Мерзляк, В.Б. Полонський, Ю.М. Рабінович, M.С. Якір ВАРІАНТ 3

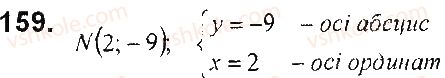
Завдання 159 - ВАРІАНТ 3

Назад до 158 № 159 Вперед до 160
zoom-minus zoom-plus
Завдання можно рухати вправо/вліво

9-geometriya-ag-merzlyak-vb-polonskij-yum-rabinovich-ms-yakir-2017-zbirnik-zadach-i-kontrolnih-robit--variant-3-159.jpg

  • 1
  • 2
  • 3
  • 4
  • 7
  • 8
  • 9
  • 10
  • 14
  • 17
  • 18
  • 19
  • 23
  • 29
  • 30
  • 31
  • 36
  • 37
  • 39
  • 47
  • 48
  • 49
  • 51
  • 60
  • 62
  • 64
  • 65
  • 69
  • 70
  • 72
  • 73
  • 76
  • 81
  • 99
  • 101
  • 132
  • 133
  • 134
  • 135
  • 136
  • 137
  • 141
  • 143
  • 146
  • 147
  • 148
  • 149
  • 151
  • 156
  • 158
  • 159
  • 160
  • 161
  • 162
  • 163
  • 168
  • 171
  • 173
Ми
у твоєму
телефоні
Вшколі - це твій помічник, який допоможе тобі швидко знайти відповідь на завдання або завантажити підручник зі шкільної програми без жодних обмежень.
vshkole.com - це портал, на якому ти зможеш знайти підручники і роз'язники (ГДЗ) з усіх предметів шкільної програми для різних класів. Сайт адаптовано під твій смартфон.
Команда порталу доклала дуже багато зусиль, щоб в тебе не виникало проблем з пошуком потрібної інформації. Користуйся із задоволенням!!! Зв'язатися з нами